B·体育(中国)官方网站-体育竞技授权平台

【专家视角】EST铁尾矿中有机质的微生物加工与矿物稳定作用:基于同位素标记与亚微米尺度-B体育(sport)平台官网

【专家视角】EST铁尾矿中有机质的微生物加工与矿物稳定作用:基于同位素标记与亚微米尺度

发布时间:2026-03-16

点击量:

  微生物对有机质(OM)的利用与形成,是铁尾矿生态工程化成土过程中最关键的驱动机制,构成可持续生态修复的基础。本项为期四年的微宇宙研究旨在阐明,在添加有机质的铁矿尾矿中,经历微生物加工作用后,有机质在相对长期尺度上的转化与稳定机制。研究采用同位素示踪技术(13C-葡萄糖和13C/15N标记的春小麦生物质),并结合高分辨率Orbitrap质谱和纳米级二次离子质谱(NanoSIMS),在亚微米尺度上解析形成的尾矿技术土壤中有机质的分子组成及有机质–微生物–矿物之间的相互作用。研究结果表明,无论是可溶性有机质(如葡萄糖),还是固相有机质(植物生物质),在用于尾矿成土过程中,均可生成包括蛋白质类、脂类和类木质素在内的多样化有机分子。这些有机物主要以非均一方式被富Fe和Al的矿物所稳定。同时,在以13C-葡萄糖为底物的尾矿体系中,观察到了微生物14N2固氮过程,形成了富集13C和14N的微生物源有机质。在添加13C/15N标记春小麦生物质的尾矿体系中,有机质表现出明显的动态周转特征,即外源13C/15N含量逐渐降低,同时出现了含有大气来源12C/14N的有机化合物。这些由微生物和矿物共同介导的有机质形成与稳定过程表明,在最初添加有机质的尾矿中,已经开始形成以原位微生物驱动的碳/氮生物地球化学循环为标志的土壤生态韧性。

  铁尾矿生态修复研究正从传统的工程覆盖与植被重建,逐步转向关注有机质输入、微生物过程及尾矿成土(technosol formation)机制。已有研究认识到 Fe/Al 矿物在有机质稳定中的重要性,但相关理论主要来源于天然土壤体系,在极端贫养分、强矿物控制的尾矿环境中是否适用仍缺乏直接证据,尤其缺少长期尺度的实验证明。现有研究多停留在短期实验和宏观指标层面,难以区分外源有机质与微生物源有机质的真实贡献,也无法揭示有机质在微生物加工和矿物稳定过程中的去向与空间分布。此外,尾矿体系是否能够由“外源有机质驱动”转变为具备原位碳氮循环能力的自维持系统,仍是一个尚未解决的关键问题。

  1.铁矿尾矿中外源有机质在长期尺度上是否会被微生物重新加工,并转化为具有稳定潜力的微生物源有机碳?

  2.微生物加工形成的有机质能否在尾矿中与 Fe/Al 活性矿物结合,形成矿物结合态有机碳(MAOM)并实现长期稳定?

  3.尾矿体系是否能够在有机质添加后,由外源输入依赖转变为以原位微生物驱动的碳氮生物地球化学循环系统?

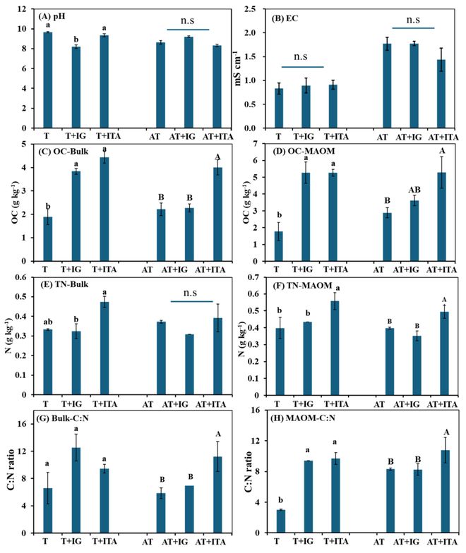
  4年后,对照与各处理整体仍偏碱(新鲜尾矿pH9;葡萄糖可降低新鲜尾矿的 pH约为8,说明易降解碳可通过微生物产酸改变局部环境),而电导率(EC)差异不大,说明溶解盐分背景主要由尾矿本身控制。更关键的是,添加葡萄糖或小麦生物质都会提高整体尾矿的TOC;小麦生物质尽管“低 N”,仍能显著提高整体尾矿的与 MAOM 的 TN,并使 C/N 上升,表明长期培养中有机质不仅在整体尾矿中累积,更重要的是,有机质逐步进入

【专家视角】EST铁尾矿中有机质的微生物加工与矿物稳定作用:基于同位素标记与亚微米尺度(图1)

  图1 不同处理尾矿在培养4年后,其pH值(A)、EC(B),以及整体尾矿中和MAOM组分中的OC、N含量及C/N比的变化特征(C-H)。

  Orbitrap识别到每个处理约8,000–14,000个有机分子,显示4年后尾矿DOM已高度复杂。van Krevelen图揭示:葡萄糖处理的DOM分布更“铺开”(更高的组成多样性/熵),且相对富集更高DBE、芳香性与更高氧化态特征,符合“易降解碳→快速微生物代谢/再合成→生成更氧化、更不饱和的代谢物/残体”的趋势;小麦生物质处理则更集中在类木质素与类蛋白区域,呈现“复杂植物残体分解→产物在分子域上更趋于同化”的特征。总体上,DOM的主导B体育平台 B体育网站有机质以类木质素、类脂与类蛋白为主,不同底物改变了不同种类有机质的相对丰度结构。

【专家视角】EST铁尾矿中有机质的微生物加工与矿物稳定作用:基于同位素标记与亚微米尺度(图2)

  图2 培养 4 年后,不同处理尾矿中DOM的 van Krevelen 图(A、B),颜色深浅表示各分子丰度的高低;不同处理尾矿中各类有机化合物的相对丰度分布(C)。

  XAFS/XANES表明:新鲜尾矿以Fe(II)相特征为主,老化尾矿以Fe(III)相为主;线性组分拟合进一步解析出在两类尾矿中,Fe/Si矿物与ferrihydrite等次生铁矿物是重要组分,说明长期培养伴随一定程度的矿物风化与再沉淀。SEM-EDS则直接显示细菌细胞表面/周边与Si、Al、Fe共沉淀,表明微生物界面可能促进次生Fe/Al/Si矿物在细胞周围生成,从而为后续有机质固定提供“反应性矿物位点”。

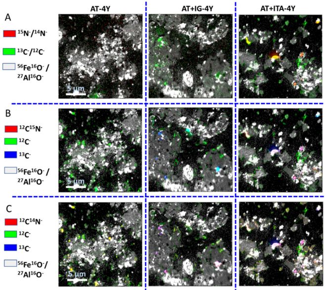
【专家视角】EST铁尾矿中有机质的微生物加工与矿物稳定作用:基于同位素标记与亚微米尺度(图3)

  4 NanoSIMS同位素比值:外源13C/15N的保留+微生物利用的直接证据

  NanoSIMS的13C/12C与15N/14N比值显示:对照样品接近天然丰度;而葡萄糖处理在新鲜尾矿中出现显著13C富集(表明外源碳被长期保留/转入稳定库);小麦生物质处理同时出现13C与15N富集。更关键的是,将ROI区分为“细菌细胞”与“其他OM”后,细菌细胞的同位素富集程度更高,构成“外源底物被微生物吸收并形成细胞/微生物源有机质”的直接证据。

【专家视角】EST铁尾矿中有机质的微生物加工与矿物稳定作用:基于同位素标记与亚微米尺度(图4)

  5 NanoSIMS空间分布(新鲜尾矿):从外源输入到“固氮/固碳”驱动的C–N新生成

  在新鲜尾矿中,葡萄糖处理的OM呈现13C与14N富集且空间分布高度非均一,作者认为,葡萄糖提供能量后,可能发生N₂固氮并形成富13C–14N的微生物源OM。小麦生物质处理中则出现更复杂的同位素拼图:既有13C–15N的外源残体信号,也有大气来源元素的“新生OM”信号,反映了4年尺度上的持续分解—再合成—再分配过程。

【专家视角】EST铁尾矿中有机质的微生物加工与矿物稳定作用:基于同位素标记与亚微米尺度(图5)

  6 NanoSIMS空间分布(老化尾矿):Fe/Al富集矿物背景增强了有机质的矿物结合机会

  在老化尾矿中(Fe氧化物/羟基氧化物背景更强),NanoSIMS显示OM与矿物相(以Fe/Al信号表征)的共定位更普遍;这与作者在文中提出的机制一致:次生Fe矿物(如Fe–Si–SRO、ferrihydrite)高比表面积与可变电荷提供强吸附/配位位点,使微生物加工产生的蛋白样、脂类、芳香/类木质素分子更容易进入MAOM并长期保存,从而推动尾矿土壤的稳定有机碳库形成。

【专家视角】EST铁尾矿中有机质的微生物加工与矿物稳定作用:基于同位素标记与亚微米尺度(图6)

  综上,该研究表明,铁尾矿中外源有机质的作用并非简单的“碳输入”,而是通过微生物对不同类型底物的差异化加工,驱动尾矿体系内部有机质形成与稳定机制的重构。可溶性与固相复杂有机质分别引导了不同的微生物代谢路径,生成在分子组成上高度多样的溶解性与颗粒态有机质;这些微生物再加工产物随后在微生物–矿物界面与新生的 Fe/Al/Si 活性矿物发生选择性结合,逐步转化为MAOM,构成尾矿中长期稳定的有机碳库。与此同时,尾矿中外源同位素信号随时间被来自大气的12C/14N 所稀释,并伴随固氮与潜在暗固碳过程的出现,表明尾矿由“外源有机质驱动”逐步过渡为“原位微生物过程主导”的碳氮生物地球化学循环体系。这一微生物—矿物协同作用所建立的有机质形成与稳定路径,标志着尾矿成土开始具备初步的生态韧性。由此可见,面向尾矿生态修复与成土工程,关键并不在于短期提高有机碳含量,而在于通过合理配置有机底物类型与尾矿矿物学背景,促进功能微生物群落演替及 Fe/Al 活性矿物参与,从而实现有机质由“快速输入”向“长期固持”的根本转变。

【专家视角】EST铁尾矿中有机质的微生物加工与矿物稳定作用:基于同位素标记与亚微米尺度(图7)

  伍松林:中国科学院生态环境研究中心研究员,博士生导师。中国科学院大学双向双聘教师。国家海外高层次青年人才基金获得者。中国科学院“百人计划”入选者并获得择优支持。主要研究方向为土壤有机-矿物互作、矿区生物地球化学过程及生态修复。十余年来,围绕着植物根系及根际微生物介导的尾矿及退化土壤生物地球化学过程及其机理进行了系统性研究,并据此开发尾矿成土综合技术及重金属污染生态修复技术体系,以解决大面积尾矿修复问题,助力构建“绿水青山”,并推进可持续性矿业生产。主持或参与国内外10余个重要科研项目,包括国家及中科院项目,国家自然科学基金面上基金及企业委托基金。研究成果以论文的形式发表于综合与专业类重要期刊,如“Environmental Science & Technology” 和“New Phytologist”,及Cell系列期刊iScience等,总被引2500余次(Google scholar)),担任核心期刊《应用生态学报》编委,国际土壤与植物学领域top期刊Plant and Soil 领域编辑(Section Editor)和环境地学及健康学领域重要期刊Environmental Geochemistry and Health副主编,Soil & Environmental health期刊编委和《岩矿测试》青年编委等。

【专家视角】EST铁尾矿中有机质的微生物加工与矿物稳定作用:基于同位素标记与亚微米尺度(图8)

  李贞:华南师范大学环境学院,助理研究员,主要围绕矿山生态修复开展研究工作。目前主持国家自然科学青年基金、中国博士后面上基金、广东省面上基金等项目,以第一作者在《Environmental Science & Technology》、《Geoderma》、《Pedosphere》等环境科学、土壤学领域期刊发表学术论文10余篇。

【专家视角】EST铁尾矿中有机质的微生物加工与矿物稳定作用:基于同位素标记与亚微米尺度(图9)

  黄隆斌(Longbin Huang)教授是澳大利亚昆士兰大学可持续矿物学院矿山生态工程技术领域学科领头人,自2009年起深耕矿山固体废弃物(如:赤泥,铁尾矿,金属硫化尾矿/废石等)高效利用与生态修复领域,其革命性地将科学研究与全球工业重大需求紧密结合,近年来与著名矿业公司如力拓集团,昆士兰铝业,嘉能可集团等开展多项重大合作,荣获2019年昆士兰大学工业合作研究优秀奖。黄教授是在澳大利亚尾矿研究方面发表论文最多的学者之一,在国际主流学术期刊发表约300篇论文。研究成果被114个国家、160多个科研单位及组织引用。在2022年国际闭矿大会作特邀主题报告“建立矿山韧性生态系统:跨越性生态工程技术的创新”。通过多年科研合作及场地试验,开发了一整套以自然生态过程(Nature-based)为基础的尾矿生态工程成土过程和人工岩石形成及环境效应技术体系。

在线客服
服务热线

服务热线

0532-83131202

微信咨询
微信二维码
返回顶部
×微信二维码

截屏,微信识别二维码

微信号:15610504569(手机同号)

(点击微信号复制,添加好友)

打开微信

微信号已复制,请打开微信添加咨询详情!